Тема: Организация мини сети для IPTV

Ответить в теме
Показано с 1 по 6 из 6
  1. Вверх #1
    User banned
    Пол
    Мужской
    Адрес
    Odessa City
    Сообщений
    1,957
    Репутация
    661

    По умолчанию Организация мини сети для IPTV

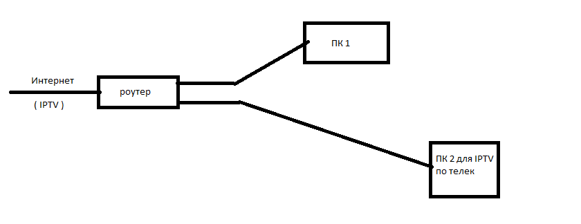
    вообщем есть старый компутер который я хочу использовать как iptv приставку для телека. я знаю что придется покупать роутер. вот схема без технических деталей. Хочу узнать правильная ли схема и что нужно изменить/добавить
    Изображения


  2. Вверх #2
    Живёт на форуме Аватар для aleyer
    Пол
    Мужской
    Адрес
    Там же
    Возраст
    35
    Сообщений
    4,729
    Репутация
    1356
    как-то давно очень сильно хотелось обойтись без роутера и это вышло. а так схема правильная

  3. Вверх #3
    Не покидает форум Аватар для densen2002
    Пол
    Мужской
    Адрес
    Одесса
    Сообщений
    8,496
    Репутация
    1128
    роутер должен быть с поддержкой мультикаста.
    у меня в этой аппликации работает нормально DIR-100.

    кстати, на комстаре и инфомире эта схема работать не будет.
    там особая схема.
    роутер там в телевидении не участвует.
    Последний раз редактировалось densen2002; 22.07.2010 в 21:57.

  4. Вверх #4
    User banned
    Пол
    Мужской
    Адрес
    Odessa City
    Сообщений
    1,957
    Репутация
    661
    Цитата Сообщение от aleyer Посмотреть сообщение
    как-то давно очень сильно хотелось обойтись без роутера и это вышло. а так схема правильная
    а как без роутера?

  5. Вверх #5
    Частый гость Аватар для djshyra
    Пол
    Мужской
    Возраст
    34
    Сообщений
    780
    Репутация
    525
    Цитата Сообщение от Alexander90 Посмотреть сообщение
    а как без роутера?
    комп напостоянку включен, нужна только вторая сеть

  6. Вверх #6
    User banned
    Пол
    Мужской
    Адрес
    Odessa City
    Сообщений
    1,957
    Репутация
    661
    Цитата Сообщение от djshyra Посмотреть сообщение
    комп напостоянку включен, нужна только вторая сеть
    а это, я думал есть другой способ


Ответить в теме

Похожие темы

  1. Стрим-ТВ (IPTV)
    от vlm в разделе Интернет :: технические вопросы
    Ответов: 2653
    Последнее сообщение: 21.09.2017, 13:37
  2. IPTV
    от gamer в разделе Интернет :: технические вопросы
    Ответов: 30
    Последнее сообщение: 01.06.2010, 18:34
  3. IPTV и FreeBSD как роутер
    от RealN в разделе Интернет :: технические вопросы
    Ответов: 5
    Последнее сообщение: 16.04.2008, 13:46
  4. HDTV IPTV в сети.(БРИЗ-интернет)
    от polarstar в разделе Интернет :: технические вопросы
    Ответов: 45
    Последнее сообщение: 08.07.2007, 07:19
  5. Dom@net = IPTV
    от Salamandro в разделе Интернет :: технические вопросы
    Ответов: 27
    Последнее сообщение: 07.05.2007, 23:23

Социальные закладки

Социальные закладки

Ваши права

  • Вы не можете создавать новые темы
  • Вы не можете отвечать в темах
  • Вы не можете прикреплять вложения
  • Вы не можете редактировать свои сообщения